27 сентября 2011 Архив Митяшин Владислав
Вчера рынки показывали удивительную волатильность. Настроения менялись как у незамужней девушки. В целом, рынки частично восстановились от падений прошлой недели. Индекс DAX вырос на 2.58%, а цена на нефть сумела выбраться из пике, в котором оказалась накануне и стабилизировалась около отметки 106.70. Паника относительно возможности “второй волны кризиса” немного уходит. Вышедшие вчера прогнозы по занятости за сентябрь в США (Nonfarm Payrolls) показывают, что ожидается прирост рабочих мест на уровне +73 тыс., а в частном секторе - 100 тыс. Скорее всего, и данные за прошлый месяц, показавшие нулевой прирост рабочих мест, пересмотрят вверх, очень уж они идут в разрез с данными от ADP и от опросов домохозяйств. Так что через десять дней настроения на рынке могут быть гораздо более оптимистичными, чем сейчас. Соответственно, уже к этому моменту евро будет выше, а когда данные действительно выйдут сильными, рост аппетитов к риску захлестнет рынки.
События, на которые стоит обратить внимание сегодня:
10:00 мск. Германия: Индекс GfK на октябрь (Предыдущее значение - 5.2, Прогноз - 5)
12:00 мск. Eврозона: Денежная масса М3 за август (Предыдущее значение - 2.0 %, Прогноз - 1.9 %)
14:00 мск. Великобритания: сентябрь, Индекс розничных продаж Конфедерации британской промышленности (прогноз: -15 - -14; за пред. период: - -14)
17:00 мск. США: Индекс цен на жильё CaseShiller 20 за июль (Предыдущее значение - -4.5 % г/г, Прогноз - -4.5 %г/г)
18:00 мск. США: Индекс доверия потребителей в сентябре (Предыдущее значение - 44.5, Прогноз - 46)
ЕЦБ, Новотны:
- увеличение размера EFSF имеет смысл
- Размер EFSF не должен превышать 1 трлн. евро
- Финансовая состоятельность банковского сектора - задача правительства
- Необходимо понимать разницу между ликвидностью и платёжеспособностью банков
- У Европы достаточно средств, чтобы финансировать структурные изменения
- Необходима координация финансовой политики
Евро/доллар
Через несколько месяцев после того, как рынки начали готовиться к шоку греческого дефолта, европейские чиновники, наконец, делают то же самое.
Сообщения о новом плане, чтобы противостоять кризису суверенного долга, относятся к расширению пакета спасения для Греции, дополнительной поддержке, чтобы оградить европейские государства и банки от заражения, а также возможное снижение ставок для поддержки финансовых рынков.
Пока чиновники пытались обуздать спекуляцию, рынки все еще требовали некоторое утешение в понедельник после паники прошлой торговой недели.
Упреки в адрес европейских чиновников за бездействие, похоже, достигли своей цели, сказал Александр Крейг, главный экономист Toronto-Dominion Bank.
"Европа пропустила сообщения о встрече G20", - сказал он.
Министр финансов США Тимоти Гейтнер, аналогично, не снискал доверия своими тупыми директивами, выступая перед Международным валютным фондом в субботу. "Угроза дефолта вызовет каскадные дефолты, банк работает, и катастрофические риски должны быть сняты с повестки дня", - сказал он.
Хотя никаких официальных планов на ежегодном собрании МВФ не прозвучало, доклады свидетельствуют о значительном увеличении финансирования фонда европейской стабильности для уязвимых государств-членов еврозоны от € 440 миллиардов до целых € 2-триллионов долларов.
Греческий дефолт подразумевает 50% списания ее суверенного долга, в сочетании с рекапитализацией проблемных банков в регионе.
"Этого могло бы быть достаточно, чтобы предотвратить полный финансовый крах", - заявила Джулиан Джессоп, главный международный экономист в Capital Economics, говорится в ноте.
Многое пришлось бы преодолеть, чтобы реализовать такую широкую программу, но, как представляется, регион на грани выработки консенсуса, говорит Камилла Саттон, главный валютный стратег-аналитик Scotia Capital.
"Существует решение европейских бед, но в настоящее время политики проявляют неспособность осуществить его", - сказала она.
И неспособны публично поддерживать его, по крайней мере на некоторое время.
Официальный представитель, участвующий в управлении кризисом еврозоны, заявил: "Все эти разговоры о конкретных стрижках для Греции или расширение EFSF, все это просто спекуляции. Мы не работаем в этом направлении".
Канцлер Германии Ангела Меркель, которой предстоит с ее руководством в четверг провести критическое голосование по EFSF в рейхстаге, заявила, что позволить Греции дефолт равносильно разрушению доверия инвесторов к региону.
Сообщения о предстоящем снижение ставок в еврозоне поступали в кулуарах от чиновников Европейского центрального банка, ссылаясь на "дикие" спекуляции для повышения рыночной надежды.
Рынки имеют очень хорошие шансы увидеть снижение процентных ставок на 50 базисных пунктов уже на следующей неделе, сказал Марк Чэндлер, глава глобальной валютной стратегии Brown Brothers Harriman.
Даже если это правда, тем не менее, эффект от ослабления денежно-кредитной политики будет ограниченым, отметил он. Не исключено, что евро падал и на этих ожиданиях.
"Причина проблем экономики еврозоны не из-за процентных ставок, но на самом деле из-за банковского кризиса ликвидности", - сказал он.
Конечно, снижение ставок будет носить негативный краткосрочный эффект для евро, но представляется облегчением для больной экономики.
Это может привести к снижению стоимости заимствований для более слабых государств в регионе, сказал Александр. "ЕЦБ не должен был поднимать процентные ставки, последний раз".
Неделю евро открыл довольно бодро, поднявшись до отметки 1.3550. Масса сделанных в выходные заявлений относительно амбициозных планов по стабилизации ситуации в ЕС, включая мультиплицирование кредитной мощи фонда EFSF с помощью предоставляемого ЕЦБ “плеча” и форсирование принятия Европейского Механизма Стабильности, должны были пойти евро на пользу. Однако позже в азиатскую сессию евро без видимого повода ушел на новые минимумы, показав отметку 1.3361, затем пошел вверх и поднялся до 1.3540, к вечеру провалился до 1.3416 и затем вновь поднялся к 1.35. Утренняя волна роста евро была вызвана заявлением ЕЦБ о том, что центробанк снова начнет покупать с рынка облигации, обеспеченные ипотекой (covered bonds), а также возобновит проведение аукционов по предоставлению ликвидности сроком на год. Видимо, смягчение позиции ЕЦБ вызвано тем, что “еврократы” в ЕС удовлетворены ходом идущих интеграционных процессов, и решили не перегибать палку с давлением, которое оказывает долговой кризис на суверенные страны Еврозоны и ослабили “удавку”. В целом полученные за последние сутки новости свидетельствуют, что долговой кризис в Еврозоне находится под полным контролем, и в любой момент может оказаться, что все долговые проблемы Европы вовсе не стоят того веса, какой им придается. На горизонте для евро не видно опасностей. Все разговоры о “греческом кризисе” прекратятся, как только Греция получит добро на очередной транш помощи, а Тройка возвратится в Грецию уже на этой неделе. Греческому правительству, видимо, ничего не остается делать, как пойти на требуемые ЕС массовые увольнения в госсекторе в целях сокращения расходов. Так что “греческий кризис” вскоре может сойти “на нет”, как минимум, до момента выделения очередного транша.
Технически, EUR/USD не смотря на то, что вчера обновил очередной минимум, на графике дневного масштаба нарисовал длиннющий хвост, говорящий об огромном не желании снижаться. Теперь быкам стоит закрепиться выше 1.3560 и перевести торговлю в диапазон 1.3560 - 1.3680, чтобы легче дышалось, а то уж многие прикупились наверху и ку-ку...
Фунт/доллар
Член Комитета по денежной политике Adam Posen выступит с речью в 11:30 мск., затем в 14:00 мск. будут опубликованы Розничные продажи по данным Конфедерации Британских Промышленников, которые как ожидается остались без изменения по сравнению с прошлым периодом и находятся на отрицательной территории.
Технически, GBP/USD на 4-хчасовом графике совершил неплохой отскок и демонстрирует хорошую покупку. Ближайшая цель - 1.5600, следующая - 1.5670. При возобновлении продаж, может найти поддержку на 1.5470.
Доллар/йена
Настроения продолжают падать, что традиционно отражается на йене, так как ее используют для хеджирования сделок и как валюту-убежище, а судя по графику доллар/йена в нее бегут сильнее чем в доллар и даже японские интервенции инвесторов не останавливают.
Японское правительство собирается принять меры, направленные на ослабление давления сильной йены - Reuters
- Данные меры будут включать в себя использование йены в сделках по слиянию/поглощению, а также для обеспечения необходимого количества электроэнергии
- Информация по расходам, которых потребует введение подобных мер, пока не разглашается
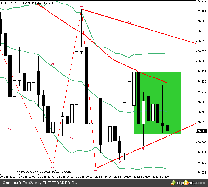
Технически, по USD/JPY ситуация не претерпела значительных изменений, однако на 4-х часовом графике можно наюлюдать фигуру свечного анализа «медвежья контратака». Последняя свеча (текущая) говорит о возможном продолжении движения вниз, тестирование линии 76.26, а затем недавнего минимума 76.09. Ближайшее сопротивление 76.40.
События, на которые стоит обратить внимание сегодня:
10:00 мск. Германия: Индекс GfK на октябрь (Предыдущее значение - 5.2, Прогноз - 5)
12:00 мск. Eврозона: Денежная масса М3 за август (Предыдущее значение - 2.0 %, Прогноз - 1.9 %)
14:00 мск. Великобритания: сентябрь, Индекс розничных продаж Конфедерации британской промышленности (прогноз: -15 - -14; за пред. период: - -14)
17:00 мск. США: Индекс цен на жильё CaseShiller 20 за июль (Предыдущее значение - -4.5 % г/г, Прогноз - -4.5 %г/г)
18:00 мск. США: Индекс доверия потребителей в сентябре (Предыдущее значение - 44.5, Прогноз - 46)
ЕЦБ, Новотны:
- увеличение размера EFSF имеет смысл
- Размер EFSF не должен превышать 1 трлн. евро
- Финансовая состоятельность банковского сектора - задача правительства
- Необходимо понимать разницу между ликвидностью и платёжеспособностью банков
- У Европы достаточно средств, чтобы финансировать структурные изменения
- Необходима координация финансовой политики
Евро/доллар
Через несколько месяцев после того, как рынки начали готовиться к шоку греческого дефолта, европейские чиновники, наконец, делают то же самое.
Сообщения о новом плане, чтобы противостоять кризису суверенного долга, относятся к расширению пакета спасения для Греции, дополнительной поддержке, чтобы оградить европейские государства и банки от заражения, а также возможное снижение ставок для поддержки финансовых рынков.
Пока чиновники пытались обуздать спекуляцию, рынки все еще требовали некоторое утешение в понедельник после паники прошлой торговой недели.
Упреки в адрес европейских чиновников за бездействие, похоже, достигли своей цели, сказал Александр Крейг, главный экономист Toronto-Dominion Bank.
"Европа пропустила сообщения о встрече G20", - сказал он.
Министр финансов США Тимоти Гейтнер, аналогично, не снискал доверия своими тупыми директивами, выступая перед Международным валютным фондом в субботу. "Угроза дефолта вызовет каскадные дефолты, банк работает, и катастрофические риски должны быть сняты с повестки дня", - сказал он.
Хотя никаких официальных планов на ежегодном собрании МВФ не прозвучало, доклады свидетельствуют о значительном увеличении финансирования фонда европейской стабильности для уязвимых государств-членов еврозоны от € 440 миллиардов до целых € 2-триллионов долларов.
Греческий дефолт подразумевает 50% списания ее суверенного долга, в сочетании с рекапитализацией проблемных банков в регионе.
"Этого могло бы быть достаточно, чтобы предотвратить полный финансовый крах", - заявила Джулиан Джессоп, главный международный экономист в Capital Economics, говорится в ноте.
Многое пришлось бы преодолеть, чтобы реализовать такую широкую программу, но, как представляется, регион на грани выработки консенсуса, говорит Камилла Саттон, главный валютный стратег-аналитик Scotia Capital.
"Существует решение европейских бед, но в настоящее время политики проявляют неспособность осуществить его", - сказала она.
И неспособны публично поддерживать его, по крайней мере на некоторое время.
Официальный представитель, участвующий в управлении кризисом еврозоны, заявил: "Все эти разговоры о конкретных стрижках для Греции или расширение EFSF, все это просто спекуляции. Мы не работаем в этом направлении".
Канцлер Германии Ангела Меркель, которой предстоит с ее руководством в четверг провести критическое голосование по EFSF в рейхстаге, заявила, что позволить Греции дефолт равносильно разрушению доверия инвесторов к региону.
Сообщения о предстоящем снижение ставок в еврозоне поступали в кулуарах от чиновников Европейского центрального банка, ссылаясь на "дикие" спекуляции для повышения рыночной надежды.
Рынки имеют очень хорошие шансы увидеть снижение процентных ставок на 50 базисных пунктов уже на следующей неделе, сказал Марк Чэндлер, глава глобальной валютной стратегии Brown Brothers Harriman.
Даже если это правда, тем не менее, эффект от ослабления денежно-кредитной политики будет ограниченым, отметил он. Не исключено, что евро падал и на этих ожиданиях.
"Причина проблем экономики еврозоны не из-за процентных ставок, но на самом деле из-за банковского кризиса ликвидности", - сказал он.
Конечно, снижение ставок будет носить негативный краткосрочный эффект для евро, но представляется облегчением для больной экономики.
Это может привести к снижению стоимости заимствований для более слабых государств в регионе, сказал Александр. "ЕЦБ не должен был поднимать процентные ставки, последний раз".
Неделю евро открыл довольно бодро, поднявшись до отметки 1.3550. Масса сделанных в выходные заявлений относительно амбициозных планов по стабилизации ситуации в ЕС, включая мультиплицирование кредитной мощи фонда EFSF с помощью предоставляемого ЕЦБ “плеча” и форсирование принятия Европейского Механизма Стабильности, должны были пойти евро на пользу. Однако позже в азиатскую сессию евро без видимого повода ушел на новые минимумы, показав отметку 1.3361, затем пошел вверх и поднялся до 1.3540, к вечеру провалился до 1.3416 и затем вновь поднялся к 1.35. Утренняя волна роста евро была вызвана заявлением ЕЦБ о том, что центробанк снова начнет покупать с рынка облигации, обеспеченные ипотекой (covered bonds), а также возобновит проведение аукционов по предоставлению ликвидности сроком на год. Видимо, смягчение позиции ЕЦБ вызвано тем, что “еврократы” в ЕС удовлетворены ходом идущих интеграционных процессов, и решили не перегибать палку с давлением, которое оказывает долговой кризис на суверенные страны Еврозоны и ослабили “удавку”. В целом полученные за последние сутки новости свидетельствуют, что долговой кризис в Еврозоне находится под полным контролем, и в любой момент может оказаться, что все долговые проблемы Европы вовсе не стоят того веса, какой им придается. На горизонте для евро не видно опасностей. Все разговоры о “греческом кризисе” прекратятся, как только Греция получит добро на очередной транш помощи, а Тройка возвратится в Грецию уже на этой неделе. Греческому правительству, видимо, ничего не остается делать, как пойти на требуемые ЕС массовые увольнения в госсекторе в целях сокращения расходов. Так что “греческий кризис” вскоре может сойти “на нет”, как минимум, до момента выделения очередного транша.
Технически, EUR/USD не смотря на то, что вчера обновил очередной минимум, на графике дневного масштаба нарисовал длиннющий хвост, говорящий об огромном не желании снижаться. Теперь быкам стоит закрепиться выше 1.3560 и перевести торговлю в диапазон 1.3560 - 1.3680, чтобы легче дышалось, а то уж многие прикупились наверху и ку-ку...
Фунт/доллар
Член Комитета по денежной политике Adam Posen выступит с речью в 11:30 мск., затем в 14:00 мск. будут опубликованы Розничные продажи по данным Конфедерации Британских Промышленников, которые как ожидается остались без изменения по сравнению с прошлым периодом и находятся на отрицательной территории.
Технически, GBP/USD на 4-хчасовом графике совершил неплохой отскок и демонстрирует хорошую покупку. Ближайшая цель - 1.5600, следующая - 1.5670. При возобновлении продаж, может найти поддержку на 1.5470.
Доллар/йена
Настроения продолжают падать, что традиционно отражается на йене, так как ее используют для хеджирования сделок и как валюту-убежище, а судя по графику доллар/йена в нее бегут сильнее чем в доллар и даже японские интервенции инвесторов не останавливают.
Японское правительство собирается принять меры, направленные на ослабление давления сильной йены - Reuters
- Данные меры будут включать в себя использование йены в сделках по слиянию/поглощению, а также для обеспечения необходимого количества электроэнергии
- Информация по расходам, которых потребует введение подобных мер, пока не разглашается
Технически, по USD/JPY ситуация не претерпела значительных изменений, однако на 4-х часовом графике можно наюлюдать фигуру свечного анализа «медвежья контратака». Последняя свеча (текущая) говорит о возможном продолжении движения вниз, тестирование линии 76.26, а затем недавнего минимума 76.09. Ближайшее сопротивление 76.40.
/Элитный Трейдер, ELITETRADER.RU/
/templates/new/dleimages/no_icon.gif Источник
Не является индивидуальной инвестиционной рекомендацией | При копировании ссылка обязательна | Нашли ошибку - выделить и нажать Ctrl+Enter | Жалоба




